The AWB Firm
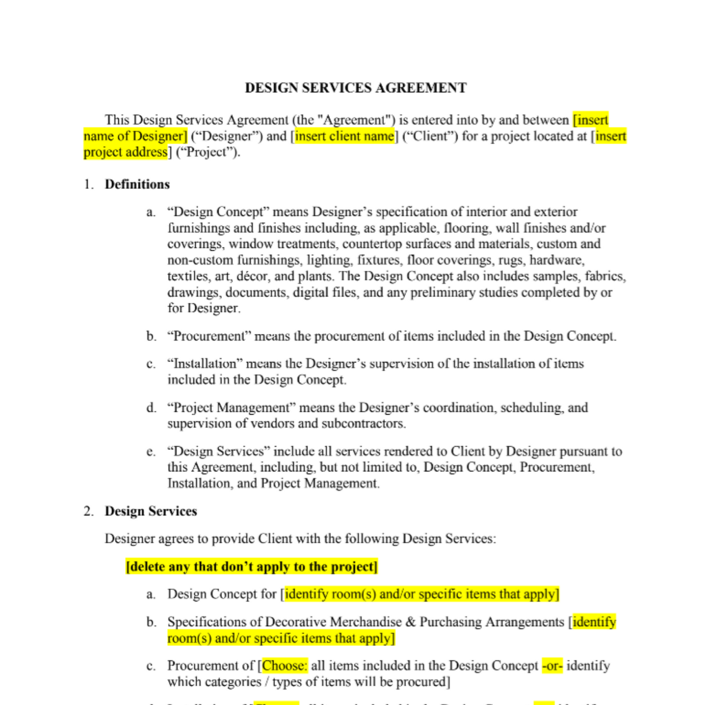
Interior Design Services Agreement
Interior Design Services Agreement
Couldn't load pickup availability
An interior designer or decorator has a multi-faceted job with a lot of moving pieces - technical design, overseeing contractors, artistic design, and sourcing materials. Managing client expectations and making sure everyone is on the same page on the front end can help ensure your project is smooth sailing. The Interior Design Services Agreement answers questions like:
- Am I obligated to pass my designer discount on to the client?
- What if the client drags their feet on providing me input, approvals, information, or payment? Can I stop or delay my work?
- Am I responsible if one of my suppliers causes an unforeseen delay?
You’re an interior designer with style… make sure you run your business with style, too. The Interior Design Services Agreement spells out every detail of what you and the client can expect working with each other.

Get additional support
Want guidance as you build your legal foundation?
Get step-by-step guidance from our legal team as you implement the essential contracts and protections your business needs. You’ll get 12+ legal templates, answers to your legal questions, and systems to keep your business protected long term.
We believe in accessible legal advice to protect your business without all the fuss.
Our customizable contract templates are quick and easy to complete, and cost a fraction of working one-on-one with a lawyer.
-
Instant Download
-
Word Doc Template
-
Fill In The Blank
-
20 Mins to Complete
Frequently Answered Questions
Is there a discount if I buy more than one template?
Yes! Use the discount code -BUILD YOUR OWN BUNDLE -during checkout to save 30% on your purchase of 3 or more individual templates. Does not apply to existing bundles.
I don’t live in Tennessee / the United States, can I use these documents?
Autumn Witt Boyd, the lawyer who primarily created these documents, is licensed to practice law in Tennessee, and other attorneys with our firm who have given input into these documents may be licensed in other states.
The documents were drafted to be generally applicable throughout the United States, but if you have a question or want to be sure about your state's laws, we encourage you to consult with a local lawyer.
Since you'll already have a solid contract to discuss with a local lawyer, this consult should be simple and quick, without requiring very much research or one-on-one legal time.
These documents are not, however, intended to be used by anyone outside the United States.
How do I know these documents will work for my business?
We wrote these documents specifically for creative entrepreneurs – online educators, coaches, podcasters, bloggers, YouTubers, designers, photographers, and other creatives. They might not work as well for a brick and mortar pizza shop or boutique, but they are already pre-customized to fit your online, creative business.
How do I actually customize my documents?
You will receive your documents by email in editable format (Word) for easy customization. You can even save your own custom versions of your legal documents to use in different scenarios or with different clients or products.
There are highlighted prompts to direct you to any text you need to fill in or change to customize the document to your specific business.
What if the law changes, will you send me new documents?
We regularly monitor federal intellectual property and advertising laws for changes, and frequently update our contract templates. We will let you know of any major changes in the law that affect your documents (such as the recent EU privacy law, GDPR, that went into effect in May 2018). If we make a major update due to a change in law, we will email you an updated version.
Can I share my document with a friend?
No. Your purchase allows a single person or business to use the document. We do not allow sharing of documents, since this makes it impossible for us to keep our prices so affordable. You can read more about our Terms of Use here.
How are these documents different from what I can buy from LegalZoom or another contract template shop?
Unlike other contracts you can buy from LegalZoom or RocketLawyer (or any other online template shop), we wrote these documents for you based on our combined 30+ years of experience working one-on-one with businesses large and small, and our expertise supporting the best online course creators in the business through their legal challenges.
I’ve combined my top-tier legal training and experience with their hard lessons learned (and many thousands of dollars spent on my legal fees!) to create templates that are already customized for your creative business. All you have to do is fill in a few blanks, at a fraction of the price and time commitment of hiring your own lawyer.
We include as much plain English language as we can in our documents, so you actually understand what they say. While some legalese is unavoidable (and important to include for your benefit!), we use the bare minimum.
How can I reach someone to help me?
Our contract templates are designed for "DIY" use and are separate from working with our team one-on-one to create a custom contract for your business. (Legal fees to create a custom contract range from about $4,000 to $5,000.)
These templates have been intentionally written by our lawyers with clear instructions + options for "non-lawyers" to understand and follow.
With that in mind, while our legal team does not provide advice about customizing the templates, you can always email us with any questions you may have.
Email our support team at info@awbfirm.com for any questions about contract templates.